03.12.2025 Клиническое наблюдение сочетания эндокринной офтальмопатии и миастении гравис: диагностические и терапевтические сложности
06.11.2025 Гиполипидемическая терапия как ключевая стратегия вторичной профилактики ишемического инсульта: вопросы потребности и приверженности лечению
06.11.2025 Метаболический синдром, когнитивные нарушения и астенический синдром: патогенетические взаимосвязи и подходы к коррекции
06.11.2025 Эссенциальный тремор с многолетним течением и болезнь Паркинсона: дифференциальный диагноз
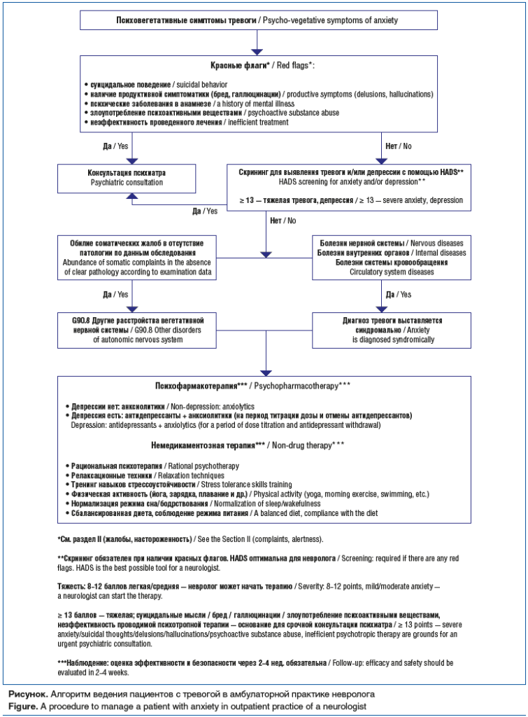
06.11.2025 Тревожные расстройства у пациента с хроническими неврологическими заболеваниями. Алгоритм диагностики и ведения в практике врача-невролога
06.11.2025 Ритмическая транскраниальная магнитная стимуляция в терапии фармакорезистентной невропатической боли (клиническое наблюдение)
02.11.2025 Метаболический синдром, когнитивные нарушения и астенический синдром: патогенетические взаимосвязи и подходы к коррекции
22.10.2025 Влияние анемии на состояние когнитивных функций у пациентов с ишемической болезнью сердца и фибрилляцией предсердий, получающих двойную антитромботическую терапию
04.07.2025 Неалкогольная жировая болезнь печени и острая недостаточность мозгового кровообращения — есть ли связь?
16.05.2025 Показатели функции равновесия у пациентов с умеренным сосудистым когнитивным расстройством и синдромом обструктивного апноэ сна до и после произвольной задержки дыхания
16.05.2025 Клиническое наблюдение стойкой химиоиндуцированной полинейропатии при раке молочной железы
16.05.2025 Эмоциональные и диссомнические нарушения у пациентов с головной болью при хронической ишемии головного мозга
10.04.2025 Белок S100B — мишень для применения антиастенического препарата с антиоксидантной активностью
19.01.2025 Реорганизация кортикоспинального тракта при постаноксических состояниях у детей: серия клинических наблюдений